长辈版
无障碍
加入收藏
当前位置:
首页
>
基层政务公开
> 马井镇人民政府
>
社会救助领域
>
特困人员救助供养
>
审批信息
信息分类:
其他,其他
内容分类:
审批信息
发文日期:
2026-03-16 10:28:22
生成日期:
2026-03-16 10:28:22
生效时间:
废止时间:
发布机构:
马井镇人民政府
文 号:
名 称:
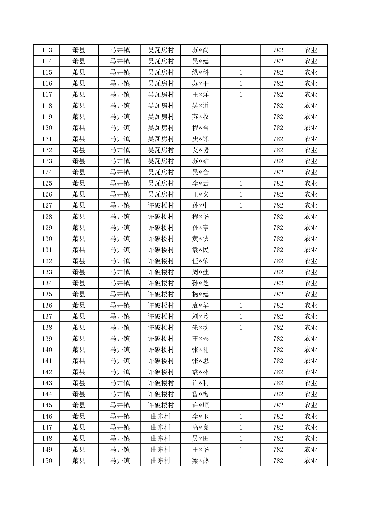
【特困】萧县马井镇2026年2月特困资金发放花名册
关
键
词:
【特困】萧县马井镇2026年2月特困资金发放花名册
发表时间:
2026-03-16 10:28
信息来源:马井镇人民政府
作者:马井镇
阅读人次:
字体:
[
大
中
小
]
保护视力色: