萧县自然资源和规划局2025年建设工程规划许可证核发
| 序号 | 项目名称 | 发证日期 | 证书编号 | 核发机关 | 建设单位 | 建设位置 | 建设规模 | 总面积(单位:平方米) | |||||||||||||||||||||
| 居住建筑(单位:平方米) | 公共建筑(单位:平方米) | 交通运输类建筑(单位:平方米) | 工业建筑(单位:平方米) | 其他建筑(单位:平方米) | 地下建筑面积(单位:平方米) | 市政道路、管线 | |||||||||||||||||||||||
| 商品房 | 保障房 | 安置房 | 其他配套设施 | 幼儿园 | 小学 | 中学 | 高校 | 养老 | 医疗卫生 | 体育 | 商业建筑 | 办公建筑 | 公共场馆 | 其他 | 道路(单位:千米) | 管线(单位:千米) | 综合管廊(单位:千米) | ||||||||||||
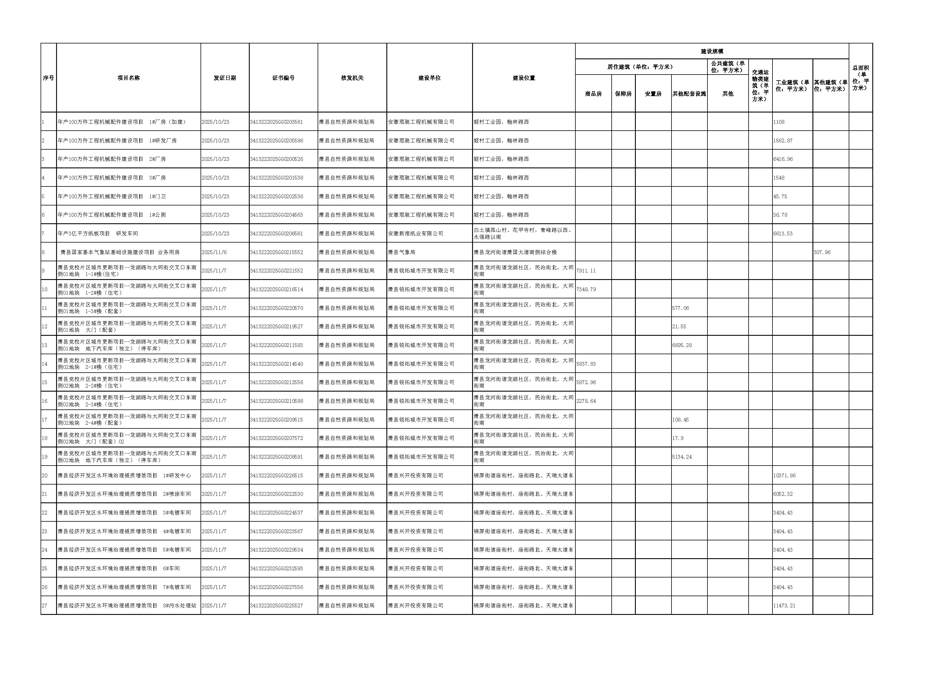
| 1 | 年产100万件工程机械配件建设项目 1#厂房(加建) | 2025/10/23 | 3413222025GG0203561 | 萧县自然资源和规划局 | 安徽琨驰工程机械有限公司 | 姬村工业园,翰林路西 | 1108 | ||||||||||||||||||||||
| 2 | 年产100万件工程机械配件建设项目 1#研发厂房 | 2025/10/23 | 3413222025GG0205586 | 萧县自然资源和规划局 | 安徽琨驰工程机械有限公司 | 姬村工业园,翰林路西 | 1562.87 | ||||||||||||||||||||||
| 3 | 年产100万件工程机械配件建设项目 2#厂房 | 2025/10/23 | 3413222025GG0200526 | 萧县自然资源和规划局 | 安徽琨驰工程机械有限公司 | 姬村工业园,翰林路西 | 6416.96 | ||||||||||||||||||||||
| 4 | 年产100万件工程机械配件建设项目 3#厂房 | 2025/10/23 | 3413222025GG0201538 | 萧县自然资源和规划局 | 安徽琨驰工程机械有限公司 | 姬村工业园,翰林路西 | 1548 | ||||||||||||||||||||||
| 5 | 年产100万件工程机械配件建设项目 1#门卫 | 2025/10/23 | 3413222025GG0202536 | 萧县自然资源和规划局 | 安徽琨驰工程机械有限公司 | 姬村工业园,翰林路西 | 45.75 | ||||||||||||||||||||||
| 6 | 年产100万件工程机械配件建设项目 1#公厕 | 2025/10/23 | 3413222025GG0204563 | 萧县自然资源和规划局 | 安徽琨驰工程机械有限公司 | 姬村工业园,翰林路西 | 36.78 | ||||||||||||||||||||||
| 7 | 年产3亿平方纸板项目 研发车间 | 2025/10/23 | 3413222025GG0206561 | 萧县自然资源和规划局 | 安徽新淮纸业有限公司 | 白土镇孤山村、花甲寺村,青峰路以西、永强路以南 | 6613.53 | ||||||||||||||||||||||
| 8 | 萧县国家基本气象站基础设施建设项目 业务用房 | 2025/11/6 | 3413222025GG0215552 | 萧县自然资源和规划局 | 萧县气象局 | 萧县龙河街道萧国大道南侧综合楼 | 307.96 | ||||||||||||||||||||||
| 9 | 萧县党校片区城市更新项目--龙湖路与大同街交叉口东南侧01地块 1-1#楼(住宅) | 2025/11/7 | 3413222025GG0221552 | 萧县自然资源和规划局 | 萧县锐拓城市开发有限公司 | 萧县龙河街道龙湖社区,民治街北,大同街南 | 7911.11 | ||||||||||||||||||||||
| 10 | 萧县党校片区城市更新项目--龙湖路与大同街交叉口东南侧01地块 1-2#楼(住宅) | 2025/11/7 | 3413222025GG0216514 | 萧县自然资源和规划局 | 萧县锐拓城市开发有限公司 | 萧县龙河街道龙湖社区,民治街北,大同街南 | 7348.79 | ||||||||||||||||||||||
| 11 | 萧县党校片区城市更新项目--龙湖路与大同街交叉口东南侧01地块 1-3#楼(配套) | 2025/11/7 | 3413222025GG0220570 | 萧县自然资源和规划局 | 萧县锐拓城市开发有限公司 | 萧县龙河街道龙湖社区,民治街北,大同街南 | 577.06 | ||||||||||||||||||||||
| 12 | 萧县党校片区城市更新项目--龙湖路与大同街交叉口东南侧01地块 大门(配套) | 2025/11/7 | 3413222025GG0219527 | 萧县自然资源和规划局 | 萧县锐拓城市开发有限公司 | 萧县龙河街道龙湖社区,民治街北,大同街南 | 21.55 | ||||||||||||||||||||||
| 13 | 萧县党校片区城市更新项目--龙湖路与大同街交叉口东南侧01地块 地下汽车库(独立)(停车库) | 2025/11/7 | 3413222025GG0211583 | 萧县自然资源和规划局 | 萧县锐拓城市开发有限公司 | 萧县龙河街道龙湖社区,民治街北,大同街南 | 6695.28 | ||||||||||||||||||||||
| 14 | 萧县党校片区城市更新项目--龙湖路与大同街交叉口东南侧02地块 2-1#楼(住宅) | 2025/11/7 | 3413222025GG0214540 | 萧县自然资源和规划局 | 萧县锐拓城市开发有限公司 | 萧县龙河街道龙湖社区,民治街北,大同街南 | 5837.83 | ||||||||||||||||||||||
| 15 | 萧县党校片区城市更新项目--龙湖路与大同街交叉口东南侧02地块 2-2#楼(住宅) | 2025/11/7 | 3413222025GG0212556 | 萧县自然资源和规划局 | 萧县锐拓城市开发有限公司 | 萧县龙河街道龙湖社区,民治街北,大同街南 | 5872.96 | ||||||||||||||||||||||
| 16 | 萧县党校片区城市更新项目--龙湖路与大同街交叉口东南侧02地块 2-3#楼(住宅) | 2025/11/7 | 3413222025GG0210588 | 萧县自然资源和规划局 | 萧县锐拓城市开发有限公司 | 萧县龙河街道龙湖社区,民治街北,大同街南 | 2278.64 | ||||||||||||||||||||||
| 17 | 萧县党校片区城市更新项目--龙湖路与大同街交叉口东南侧02地块 2-4#楼(配套) | 2025/11/7 | 3413222025GG0209515 | 萧县自然资源和规划局 | 萧县锐拓城市开发有限公司 | 萧县龙河街道龙湖社区,民治街北,大同街南 | 108.45 | ||||||||||||||||||||||
| 18 | 萧县党校片区城市更新项目--龙湖路与大同街交叉口东南侧02地块 大门(配套)02 | 2025/11/7 | 3413222025GG0207572 | 萧县自然资源和规划局 | 萧县锐拓城市开发有限公司 | 萧县龙河街道龙湖社区,民治街北,大同街南 | 17.9 | ||||||||||||||||||||||
| 19 | 萧县党校片区城市更新项目--龙湖路与大同街交叉口东南侧02地块 地下汽车库(独立)(停车库) | 2025/11/7 | 3413222025GG0208591 | 萧县自然资源和规划局 | 萧县锐拓城市开发有限公司 | 萧县龙河街道龙湖社区,民治街北,大同街南 | 5134.24 | ||||||||||||||||||||||
| 20 | 萧县经济开发区水环境治理提质增效项目 1#研发中心 | 2025/11/7 | 3413222025GG0226515 | 萧县自然资源和规划局 | 萧县兴开投资有限公司 | 锦屏街道庙街村,庙街路北、天瑞大道东 | 10371.9 | ||||||||||||||||||||||
| 21 | 萧县经济开发区水环境治理提质增效项目 2#喷涂车间 | 2025/11/7 | 3413222025GG0222530 | 萧县自然资源和规划局 | 萧县兴开投资有限公司 | 锦屏街道庙街村,庙街路北、天瑞大道东 | 6052.32 | ||||||||||||||||||||||
| 22 | 萧县经济开发区水环境治理提质增效项目 3#电镀车间 | 2025/11/7 | 3413222025GG0224537 | 萧县自然资源和规划局 | 萧县兴开投资有限公司 | 锦屏街道庙街村,庙街路北、天瑞大道东 | 3404.43 | ||||||||||||||||||||||
| 23 | 萧县经济开发区水环境治理提质增效项目 4#电镀车间 | 2025/11/7 | 3413222025GG0223567 | 萧县自然资源和规划局 | 萧县兴开投资有限公司 | 锦屏街道庙街村,庙街路北、天瑞大道东 | 3404.43 | ||||||||||||||||||||||
| 24 | 萧县经济开发区水环境治理提质增效项目 5#电镀车间 | 2025/11/7 | 3413222025GG0229534 | 萧县自然资源和规划局 | 萧县兴开投资有限公司 | 锦屏街道庙街村,庙街路北、天瑞大道东 | 3404.43 | ||||||||||||||||||||||
| 25 | 萧县经济开发区水环境治理提质增效项目 6#车间 | 2025/11/7 | 3413222025GG0232593 | 萧县自然资源和规划局 | 萧县兴开投资有限公司 | 锦屏街道庙街村,庙街路北、天瑞大道东 | 3404.43 | ||||||||||||||||||||||
| 26 | 萧县经济开发区水环境治理提质增效项目 7#电镀车间 | 2025/11/7 | 3413222025GG0227556 | 萧县自然资源和规划局 | 萧县兴开投资有限公司 | 锦屏街道庙街村,庙街路北、天瑞大道东 | 3404.43 | ||||||||||||||||||||||
| 27 | 萧县经济开发区水环境治理提质增效项目 8#污水处理站 | 2025/11/7 | 3413222025GG0225527 | 萧县自然资源和规划局 | 萧县兴开投资有限公司 | 锦屏街道庙街村,庙街路北、天瑞大道东 | 11473.2 | ||||||||||||||||||||||
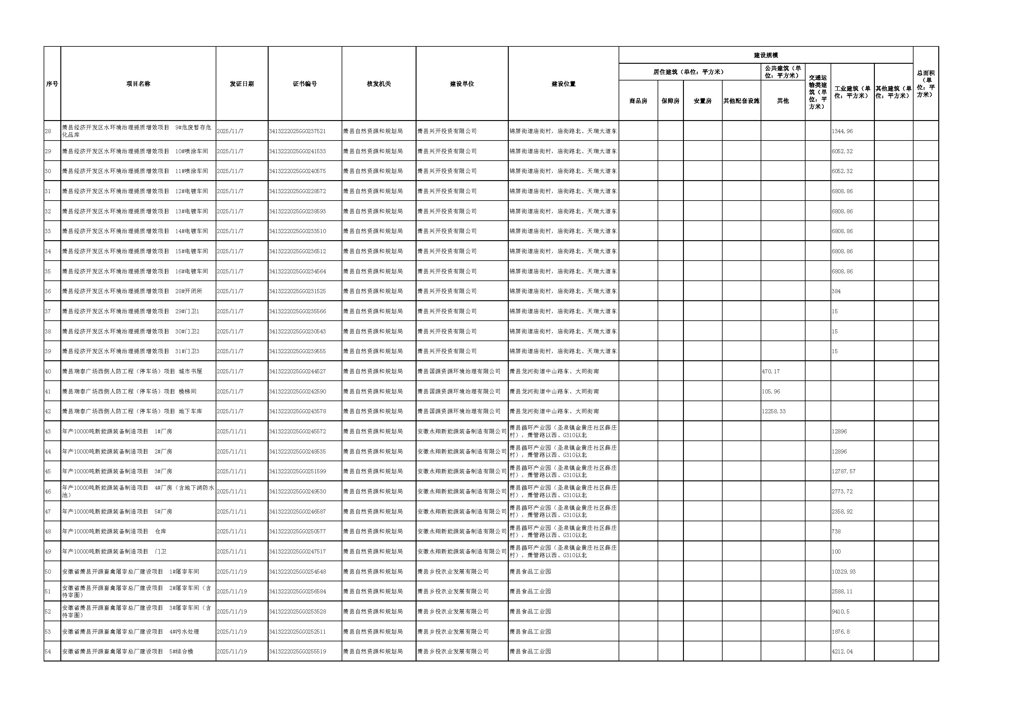
| 28 | 萧县经济开发区水环境治理提质增效项目 9#危废暂存危化品库 | 2025/11/7 | 3413222025GG0237521 | 萧县自然资源和规划局 | 萧县兴开投资有限公司 | 锦屏街道庙街村,庙街路北、天瑞大道东 | 1344.96 | ||||||||||||||||||||||
| 29 | 萧县经济开发区水环境治理提质增效项目 10#喷涂车间 | 2025/11/7 | 3413222025GG0241533 | 萧县自然资源和规划局 | 萧县兴开投资有限公司 | 锦屏街道庙街村,庙街路北、天瑞大道东 | 6052.32 | ||||||||||||||||||||||
| 30 | 萧县经济开发区水环境治理提质增效项目 11#喷涂车间 | 2025/11/7 | 3413222025GG0240575 | 萧县自然资源和规划局 | 萧县兴开投资有限公司 | 锦屏街道庙街村,庙街路北、天瑞大道东 | 6052.32 | ||||||||||||||||||||||
| 31 | 萧县经济开发区水环境治理提质增效项目 12#电镀车间 | 2025/11/7 | 3413222025GG0228572 | 萧县自然资源和规划局 | 萧县兴开投资有限公司 | 锦屏街道庙街村,庙街路北、天瑞大道东 | 6808.86 | ||||||||||||||||||||||
| 32 | 萧县经济开发区水环境治理提质增效项目 13#电镀车间 | 2025/11/7 | 3413222025GG0238593 | 萧县自然资源和规划局 | 萧县兴开投资有限公司 | 锦屏街道庙街村,庙街路北、天瑞大道东 | 6808.86 | ||||||||||||||||||||||
| 33 | 萧县经济开发区水环境治理提质增效项目 14#电镀车间 | 2025/11/7 | 3413222025GG0233510 | 萧县自然资源和规划局 | 萧县兴开投资有限公司 | 锦屏街道庙街村,庙街路北、天瑞大道东 | 6808.86 | ||||||||||||||||||||||
| 34 | 萧县经济开发区水环境治理提质增效项目 15#电镀车间 | 2025/11/7 | 3413222025GG0236512 | 萧县自然资源和规划局 | 萧县兴开投资有限公司 | 锦屏街道庙街村,庙街路北、天瑞大道东 | 6808.86 | ||||||||||||||||||||||
| 35 | 萧县经济开发区水环境治理提质增效项目 16#电镀车间 | 2025/11/7 | 3413222025GG0234564 | 萧县自然资源和规划局 | 萧县兴开投资有限公司 | 锦屏街道庙街村,庙街路北、天瑞大道东 | 6808.86 | ||||||||||||||||||||||
| 36 | 萧县经济开发区水环境治理提质增效项目 28#开闭所 | 2025/11/7 | 3413222025GG0231525 | 萧县自然资源和规划局 | 萧县兴开投资有限公司 | 锦屏街道庙街村,庙街路北、天瑞大道东 | 384 | ||||||||||||||||||||||
| 37 | 萧县经济开发区水环境治理提质增效项目 29#门卫1 | 2025/11/7 | 3413222025GG0235566 | 萧县自然资源和规划局 | 萧县兴开投资有限公司 | 锦屏街道庙街村,庙街路北、天瑞大道东 | 15 | ||||||||||||||||||||||
| 38 | 萧县经济开发区水环境治理提质增效项目 30#门卫2 | 2025/11/7 | 3413222025GG0230543 | 萧县自然资源和规划局 | 萧县兴开投资有限公司 | 锦屏街道庙街村,庙街路北、天瑞大道东 | 15 | ||||||||||||||||||||||
| 39 | 萧县经济开发区水环境治理提质增效项目 31#门卫3 | 2025/11/7 | 3413222025GG0239555 | 萧县自然资源和规划局 | 萧县兴开投资有限公司 | 锦屏街道庙街村,庙街路北、天瑞大道东 | 15 | ||||||||||||||||||||||
| 40 | 萧县瑞泰广场西侧人防工程(停车场)项目 城市书屋 | 2025/11/7 | 3413222025GG0244527 | 萧县自然资源和规划局 | 萧县国源资源环境治理有限公司 | 萧县龙河街道中山路东、大同街南 | 470.17 | ||||||||||||||||||||||
| 41 | 萧县瑞泰广场西侧人防工程(停车场)项目 楼梯间 | 2025/11/7 | 3413222025GG0242590 | 萧县自然资源和规划局 | 萧县国源资源环境治理有限公司 | 萧县龙河街道中山路东、大同街南 | 105.96 | ||||||||||||||||||||||
| 42 | 萧县瑞泰广场西侧人防工程(停车场)项目 地下车库 | 2025/11/7 | 3413222025GG0243578 | 萧县自然资源和规划局 | 萧县国源资源环境治理有限公司 | 萧县龙河街道中山路东、大同街南 | 12258.3 | ||||||||||||||||||||||
| 43 | 年产10000吨新能源装备制造项目 1#厂房 | 2025/11/11 | 3413222025GG0245572 | 萧县自然资源和规划局 | 安徽永翔新能源装备制造有限公司 | 萧县循环产业园(圣泉镇金黄庄社区薛庄村),萧管路以西、G310以北 | 12896 | ||||||||||||||||||||||
| 44 | 年产10000吨新能源装备制造项目 2#厂房 | 2025/11/11 | 3413222025GG0248535 | 萧县自然资源和规划局 | 安徽永翔新能源装备制造有限公司 | 萧县循环产业园(圣泉镇金黄庄社区薛庄村),萧管路以西、G310以北 | 12896 | ||||||||||||||||||||||
| 45 | 年产10000吨新能源装备制造项目 3#厂房 | 2025/11/11 | 3413222025GG0251599 | 萧县自然资源和规划局 | 安徽永翔新能源装备制造有限公司 | 萧县循环产业园(圣泉镇金黄庄社区薛庄村),萧管路以西、G310以北 | 12787.6 | ||||||||||||||||||||||
| 46 | 年产10000吨新能源装备制造项目 4#厂房(含地下消防水池) | 2025/11/11 | 3413222025GG0249530 | 萧县自然资源和规划局 | 安徽永翔新能源装备制造有限公司 | 萧县循环产业园(圣泉镇金黄庄社区薛庄村),萧管路以西、G310以北 | 2773.72 | ||||||||||||||||||||||
| 47 | 年产10000吨新能源装备制造项目 5#厂房 | 2025/11/11 | 3413222025GG0246587 | 萧县自然资源和规划局 | 安徽永翔新能源装备制造有限公司 | 萧县循环产业园(圣泉镇金黄庄社区薛庄村),萧管路以西、G310以北 | 2358.92 | ||||||||||||||||||||||
| 48 | 年产10000吨新能源装备制造项目 仓库 | 2025/11/11 | 3413222025GG0250577 | 萧县自然资源和规划局 | 安徽永翔新能源装备制造有限公司 | 萧县循环产业园(圣泉镇金黄庄社区薛庄村),萧管路以西、G310以北 | 738 | ||||||||||||||||||||||
| 49 | 年产10000吨新能源装备制造项目 门卫 | 2025/11/11 | 3413222025GG0247517 | 萧县自然资源和规划局 | 安徽永翔新能源装备制造有限公司 | 萧县循环产业园(圣泉镇金黄庄社区薛庄村),萧管路以西、G310以北 | 100 | ||||||||||||||||||||||
| 50 | 安徽省萧县开源畜禽屠宰总厂建设项目 1#屠宰车间 | 2025/11/19 | 3413222025GG0254548 | 萧县自然资源和规划局 | 萧县乡投农业发展有限公司 | 萧县食品工业园 | 10329.9 | ||||||||||||||||||||||
| 51 | 安徽省萧县开源畜禽屠宰总厂建设项目 2#屠宰车间(含待宰圈) | 2025/11/19 | 3413222025GG0256584 | 萧县自然资源和规划局 | 萧县乡投农业发展有限公司 | 萧县食品工业园 | 2588.11 | ||||||||||||||||||||||
| 52 | 安徽省萧县开源畜禽屠宰总厂建设项目 3#屠宰车间(含待宰圈) | 2025/11/19 | 3413222025GG0253528 | 萧县自然资源和规划局 | 萧县乡投农业发展有限公司 | 萧县食品工业园 | 9410.5 | ||||||||||||||||||||||
| 53 | 安徽省萧县开源畜禽屠宰总厂建设项目 4#污水处理 | 2025/11/19 | 3413222025GG0252511 | 萧县自然资源和规划局 | 萧县乡投农业发展有限公司 | 萧县食品工业园 | 1876.8 | ||||||||||||||||||||||
| 54 | 安徽省萧县开源畜禽屠宰总厂建设项目 5#综合楼 | 2025/11/19 | 3413222025GG0255519 | 萧县自然资源和规划局 | 萧县乡投农业发展有限公司 | 萧县食品工业园 | 4212.04 | ||||||||||||||||||||||
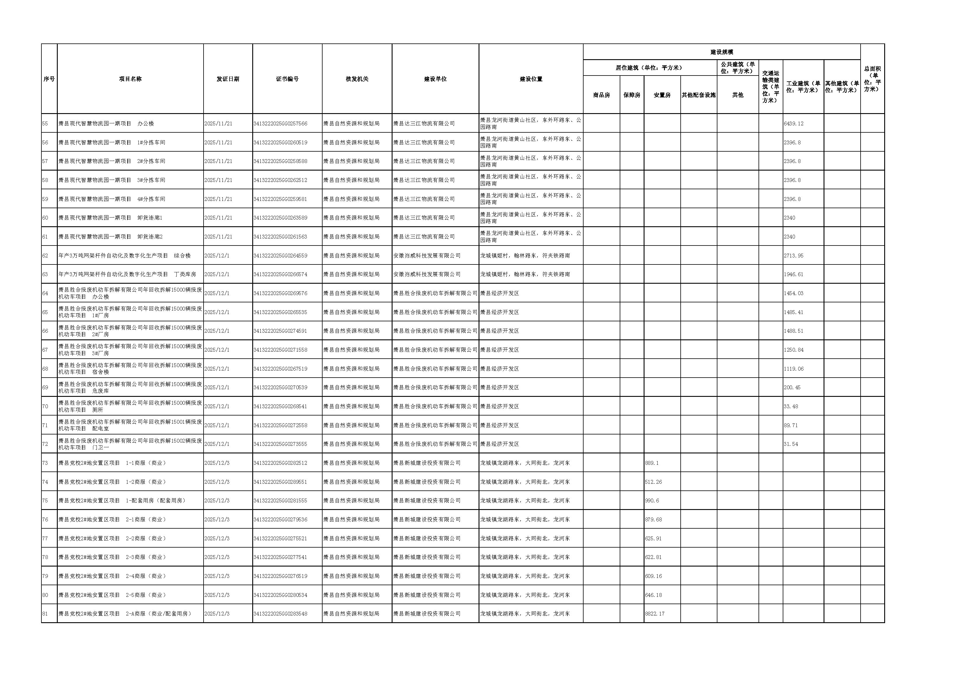
| 55 | 萧县现代智慧物流园一期项目 办公楼 | 2025/11/21 | 3413222025GG0257566 | 萧县自然资源和规划局 | 萧县达三江物流有限公司 | 萧县龙河街道黄山社区,东外环路东、公园路南 | 6439.12 | ||||||||||||||||||||||
| 56 | 萧县现代智慧物流园一期项目 1#分拣车间 | 2025/11/21 | 3413222025GG0260519 | 萧县自然资源和规划局 | 萧县达三江物流有限公司 | 萧县龙河街道黄山社区,东外环路东、公园路南 | 2396.8 | ||||||||||||||||||||||
| 57 | 萧县现代智慧物流园一期项目 2#分拣车间 | 2025/11/21 | 3413222025GG0258588 | 萧县自然资源和规划局 | 萧县达三江物流有限公司 | 萧县龙河街道黄山社区,东外环路东、公园路南 | 2396.8 | ||||||||||||||||||||||
| 58 | 萧县现代智慧物流园一期项目 3#分拣车间 | 2025/11/21 | 3413222025GG0262512 | 萧县自然资源和规划局 | 萧县达三江物流有限公司 | 萧县龙河街道黄山社区,东外环路东、公园路南 | 2396.8 | ||||||||||||||||||||||
| 59 | 萧县现代智慧物流园一期项目 4#分拣车间 | 2025/11/21 | 3413222025GG0259581 | 萧县自然资源和规划局 | 萧县达三江物流有限公司 | 萧县龙河街道黄山社区,东外环路东、公园路南 | 2396.8 | ||||||||||||||||||||||
| 60 | 萧县现代智慧物流园一期项目 卸货连廊1 | 2025/11/21 | 3413222025GG0263589 | 萧县自然资源和规划局 | 萧县达三江物流有限公司 | 萧县龙河街道黄山社区,东外环路东、公园路南 | 2340 | ||||||||||||||||||||||
| 61 | 萧县现代智慧物流园一期项目 卸货连廊2 | 2025/11/21 | 3413222025GG0261563 | 萧县自然资源和规划局 | 萧县达三江物流有限公司 | 萧县龙河街道黄山社区,东外环路东、公园路南 | 2340 | ||||||||||||||||||||||
| 62 | 年产3万吨网架杆件自动化及数字化生产项目 综合楼 | 2025/12/1 | 3413222025GG0264559 | 萧县自然资源和规划局 | 安徽岿威科技发展有限公司 | 龙城镇姬村,翰林路东,符夹铁路南 | 2713.95 | ||||||||||||||||||||||
| 63 | 年产3万吨网架杆件自动化及数字化生产项目 丁类库房 | 2025/12/1 | 3413222025GG0266574 | 萧县自然资源和规划局 | 安徽岿威科技发展有限公司 | 龙城镇姬村,翰林路东,符夹铁路南 | 1946.61 | ||||||||||||||||||||||
| 64 | 萧县胜合报废机动车拆解有限公司年回收拆解15000辆报废机动车项目 办公楼 | 2025/12/1 | 3413222025GG0269576 | 萧县自然资源和规划局 | 萧县胜合报废机动车拆解有限公司 | 萧县经济开发区 | 1454.03 | ||||||||||||||||||||||
| 65 | 萧县胜合报废机动车拆解有限公司年回收拆解15000辆报废机动车项目 1#厂房 | 2025/12/1 | 3413222025GG0265535 | 萧县自然资源和规划局 | 萧县胜合报废机动车拆解有限公司 | 萧县经济开发区 | 1485.41 | ||||||||||||||||||||||
| 66 | 萧县胜合报废机动车拆解有限公司年回收拆解15000辆报废机动车项目 2#厂房 | 2025/12/1 | 3413222025GG0274591 | 萧县自然资源和规划局 | 萧县胜合报废机动车拆解有限公司 | 萧县经济开发区 | 1488.51 | ||||||||||||||||||||||
| 67 | 萧县胜合报废机动车拆解有限公司年回收拆解15000辆报废机动车项目 3#厂房 | 2025/12/1 | 3413222025GG0271558 | 萧县自然资源和规划局 | 萧县胜合报废机动车拆解有限公司 | 萧县经济开发区 | 1250.84 | ||||||||||||||||||||||
| 68 | 萧县胜合报废机动车拆解有限公司年回收拆解15000辆报废机动车项目 宿舍楼 | 2025/12/1 | 3413222025GG0267519 | 萧县自然资源和规划局 | 萧县胜合报废机动车拆解有限公司 | 萧县经济开发区 | 1119.06 | ||||||||||||||||||||||
| 69 | 萧县胜合报废机动车拆解有限公司年回收拆解15000辆报废机动车项目 危废库 | 2025/12/1 | 3413222025GG0270539 | 萧县自然资源和规划局 | 萧县胜合报废机动车拆解有限公司 | 萧县经济开发区 | 200.45 | ||||||||||||||||||||||
| 70 | 萧县胜合报废机动车拆解有限公司年回收拆解15000辆报废机动车项目 厕所 | 2025/12/1 | 3413222025GG0268541 | 萧县自然资源和规划局 | 萧县胜合报废机动车拆解有限公司 | 萧县经济开发区 | 33.48 | ||||||||||||||||||||||
| 71 | 萧县胜合报废机动车拆解有限公司年回收拆解15001辆报废机动车项目 配电室 | 2025/12/1 | 3413222025GG0272558 | 萧县自然资源和规划局 | 萧县胜合报废机动车拆解有限公司 | 萧县经济开发区 | 89.71 | ||||||||||||||||||||||
| 72 | 萧县胜合报废机动车拆解有限公司年回收拆解15002辆报废机动车项目 门卫一 | 2025/12/1 | 3413222025GG0273555 | 萧县自然资源和规划局 | 萧县胜合报废机动车拆解有限公司 | 萧县经济开发区 | 31.54 | ||||||||||||||||||||||
| 73 | 萧县党校2#地安置区项目 1-1商服(商业) | 2025/12/3 | 3413222025GG0282512 | 萧县自然资源和规划局 | 萧县新城建设投资有限公司 | 龙城镇龙湖路东,大同街北,龙河东 | 889.1 | ||||||||||||||||||||||
| 74 | 萧县党校2#地安置区项目 1-2商服(商业) | 2025/12/3 | 3413222025GG0289551 | 萧县自然资源和规划局 | 萧县新城建设投资有限公司 | 龙城镇龙湖路东,大同街北,龙河东 | 512.26 | ||||||||||||||||||||||
| 75 | 萧县党校2#地安置区项目 1-配套用房(配套用房) | 2025/12/3 | 3413222025GG0281555 | 萧县自然资源和规划局 | 萧县新城建设投资有限公司 | 龙城镇龙湖路东,大同街北,龙河东 | 990.6 | ||||||||||||||||||||||
| 76 | 萧县党校2#地安置区项目 2-1商服(商业) | 2025/12/3 | 3413222025GG0279536 | 萧县自然资源和规划局 | 萧县新城建设投资有限公司 | 龙城镇龙湖路东,大同街北,龙河东 | 879.68 | ||||||||||||||||||||||
| 77 | 萧县党校2#地安置区项目 2-2商服(商业) | 2025/12/3 | 3413222025GG0275521 | 萧县自然资源和规划局 | 萧县新城建设投资有限公司 | 龙城镇龙湖路东,大同街北,龙河东 | 625.91 | ||||||||||||||||||||||
| 78 | 萧县党校2#地安置区项目 2-3商服(商业) | 2025/12/3 | 3413222025GG0277541 | 萧县自然资源和规划局 | 萧县新城建设投资有限公司 | 龙城镇龙湖路东,大同街北,龙河东 | 622.81 | ||||||||||||||||||||||
| 79 | 萧县党校2#地安置区项目 2-4商服(商业) | 2025/12/3 | 3413222025GG0276519 | 萧县自然资源和规划局 | 萧县新城建设投资有限公司 | 龙城镇龙湖路东,大同街北,龙河东 | 609.16 | ||||||||||||||||||||||
| 80 | 萧县党校2#地安置区项目 2-5商服(商业) | 2025/12/3 | 3413222025GG0280534 | 萧县自然资源和规划局 | 萧县新城建设投资有限公司 | 龙城镇龙湖路东,大同街北,龙河东 | 646.18 | ||||||||||||||||||||||
| 81 | 萧县党校2#地安置区项目 2-A商服(商业/配套用房) | 2025/12/3 | 3413222025GG0283548 | 萧县自然资源和规划局 | 萧县新城建设投资有限公司 | 龙城镇龙湖路东,大同街北,龙河东 | 8822.17 | ||||||||||||||||||||||
| 82 | 萧县党校2#地安置区项目 配电房1(配套用房) | 2025/12/3 | 3413222025GG0284597 | 萧县自然资源和规划局 | 萧县新城建设投资有限公司 | 龙城镇龙湖路东,大同街北,龙河东 | 131.68 | ||||||||||||||||||||||
| 83 | 萧县党校2#地安置区项目 配电房2(配套用房) | 2025/12/3 | 3413222025GG0285571 | 萧县自然资源和规划局 | 萧县新城建设投资有限公司 | 龙城镇龙湖路东,大同街北,龙河东 | 132.12 | ||||||||||||||||||||||
| 84 | 萧县党校2#地安置区项目 配电房3(配套用房) | 2025/12/3 | 3413222025GG0286596 | 萧县自然资源和规划局 | 萧县新城建设投资有限公司 | 龙城镇龙湖路东,大同街北,龙河东 | 141.15 | ||||||||||||||||||||||
| 85 | 萧县党校2#地安置区项目 幼儿园(配套用房) | 2025/12/3 | 3413222025GG0287538 | 萧县自然资源和规划局 | 萧县新城建设投资有限公司 | 龙城镇龙湖路东,大同街北,龙河东 | 4233.09 | ||||||||||||||||||||||
| 86 | 萧县党校2#地安置区项目 地下车库(一期) | 2025/12/3 | 3413222025GG0278514 | 萧县自然资源和规划局 | 萧县新城建设投资有限公司 | 龙城镇龙湖路东,大同街北,龙河东 | 70497 | ||||||||||||||||||||||
| 87 | 萧县党校2#地安置区项目 地下车库(二期) | 2025/12/3 | 3413222025GG0288546 | 萧县自然资源和规划局 | 萧县新城建设投资有限公司 | 龙城镇龙湖路东,大同街北,龙河东 | 5280 | ||||||||||||||||||||||
| 88 | 年产20000吨金属结构件项目 配电及门卫 | 2025/12/4 | 3413222025GG0290562 | 萧县自然资源和规划局 | 安徽丰禾百甲钢结构有限公司 | 萧县凤城街道姬村,萧县经济开发区北区萧泉工业园,沿河北路以北、翰林路以东 | 110.58 | ||||||||||||||||||||||
| 89 | 年产20000吨金属结构件项目 办公楼 | 2025/12/4 | 3413222025GG0293540 | 萧县自然资源和规划局 | 安徽丰禾百甲钢结构有限公司 | 萧县凤城街道姬村,萧县经济开发区北区萧泉工业园,沿河北路以北、翰林路以东 | 1335.6 | ||||||||||||||||||||||
| 90 | 年产20000吨金属结构件项目 辅助办公室 | 2025/12/4 | 3413222025GG0291574 | 萧县自然资源和规划局 | 安徽丰禾百甲钢结构有限公司 | 萧县凤城街道姬村,萧县经济开发区北区萧泉工业园,沿河北路以北、翰林路以东 | 189.63 | ||||||||||||||||||||||
| 91 | 年产20000吨金属结构件项目 生产车间 | 2025/12/4 | 3413222025GG0292522 | 萧县自然资源和规划局 | 安徽丰禾百甲钢结构有限公司 | 萧县凤城街道姬村,萧县经济开发区北区萧泉工业园,沿河北路以北、翰林路以东 | 6569.46 | ||||||||||||||||||||||
| 合计 | 29249.3 | 95012.9 | 12554.5 | 0 | 12834.5 | 222231 | 1943.77 | ||||||||||||||||||||||
| 备注:1.公共建筑中的养老、体育等建筑面积为独立占地建筑面积,不含小区内部配套设施面积;2.办公建筑包括写字楼、政府部门办公室等,涉及政府部门办公的请在备注中注明;3.交通运输类建筑包括机场、高铁站、火车站、汽车站等。3.如规划许可已撤销,可不填写。4.面积填写时统一单位为平方米,请直接填写纯数字格式。5.居住小区配套的幼儿园应在居住建筑的其他配套设施栏填写。 | |||||||||||||||||||||||||||||
皖公网安备 34132202000128


