长辈版
无障碍
加入收藏
热词:
首页
首页
魅力萧县
萧县动态
政府信息公开
办事服务
互动交流
综合服务信息
数据发布
当前位置:
首页
>
政府信息公开
> 萧县城市管理局(城市管理行政执法局)
>
清单公开
阅读人次:
字体:
[
大
中
小
]
索
引
号:
799835366/202601-00006
信息分类:
清单公开
内容分类:
其他,综合政务,其他
发布机构:
萧县城市管理局(城市管理行政执法局)
成文日期:
2026-01-14
发布时间:
2026-01-14 11:21
文
号:
有
效
性:
有效
废止时间:
暂无
关
键
词:
名
称:
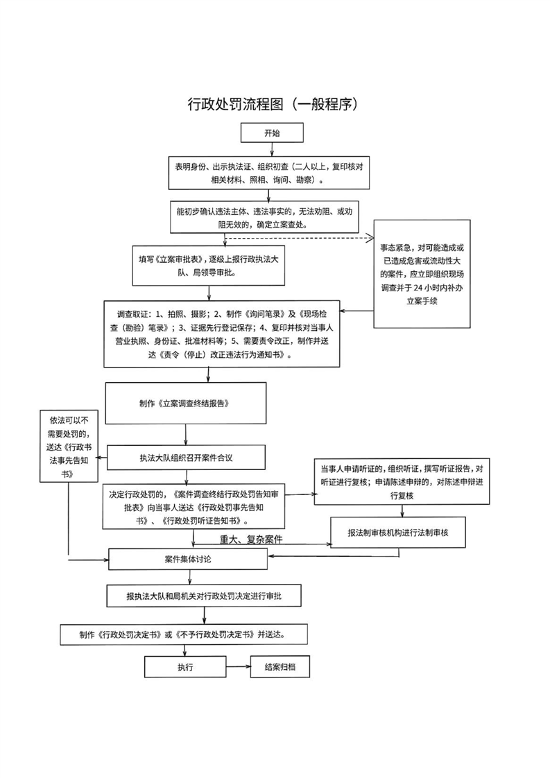
萧县城市管理局(萧县城市管理行政执法局)2025年权力运行流程图
审
核
人:
初审:武秋实 复审:武秋实 终审: 杨鲲鹏
索
引
号:
799835366/202601-00006
信息分类:
清单公开
内容分类:
其他,综合政务,其他
发布机构:
萧县城市管理局(城市管理行政执法局)
成文日期:
2026-01-14
发布时间:
2026-01-14 11:21
文
号:
有
效
性:
有效
废止时间:
暂无
关
键
词:
名
称:
萧县城市管理局(萧县城市管理行政执法局)2025年权力运行流程图
审
核
人:
初审:武秋实 复审:武秋实 终审: 杨鲲鹏
萧县城市管理局(萧县城市管理行政执法局)2025年权力运行流程图
发表时间:
2026-01-14 11:21
信息来源:
萧县城市管理局(城市管理行政执法局)
责任编辑:
城管局
阅读人次:
字体:
[
大
中
小
]
扫一扫在手机打开当前页
null
政务微博
政务微信
智能问答
分 享
返回顶部